あの人の、
『MOTHER』の気持ち。
〜吉田戦車さんの巻〜
『MOTHER』を遊んだ人たちは、
それぞれに『MOTHER』の気持ちを持っている。
そういえば、いま活躍中のあの人のなかにも、
『MOTHER』の気持ちがあるらしい。
ゲームボーイアドバンス版が出ることを記念して
いろんな人に『MOTHER』を語ってもらいます。
第2弾は吉田戦車さんの登場。
『MOTHER』に対する思いを語っていただいたあと、
お馴染みのエハイクを描き下ろしていただきました。





「みんなあの世界に
 戻りたいんじゃないのかなあ。」

どこが好きだったかといわれても、
いや、全体として好きだったとしか言えないんですよね(笑)。

1作目の『MOTHER』のほうが、印象が強いんです。
たぶん、2回か3回はクリアーしてるんじゃないかな。
そういうふうにくり返し遊ぶゲームって、
あんまりないんですよ。

やっぱり大事なゲームだったんだなと思いますね。
なんでしょうね? プレイしなおすっていうよりも、
あの世界に戻りたいっていう感じだったと思いますね。
あの音楽や、あの言葉のなかに戻りたくなるんです。

それはゲームのなかででもそうなんですよ。
通り過ぎた町に、意味もなく戻りたくなるんです。
昔のRPGだから、訪れるたびに
セリフが変わったりするわけじゃないんですけど、
それでも戻りたくなる。そういうよさがありましたね。

糸井さんはたぶん、
『ドラクエ』へのリスペクトみたいなものがあって、
ああいう『ドラクエ』的なフォーマットを
使ったと思うんですけど、
いまあらためて振り返ってみると、
『MOTHER』に『ドラクエ』っぽい印象って
まるでないんですよね。
システムやフォーマットは同じなのに。

だからほんと、
まったく新しいゲームをやってるような感じがありました。
なんだろうな、冒険は冒険なんだけど、
冒険っていうよりは、なんか、散歩というか、放浪というか。
逆に、「どうやってレベル上げしてたっけ?」
っていう部分はまるで覚えてない。
どうしてたのかな? バットとか、
ペンシルロケットとかのアイテムで補ってたのかな。

『MOTHER』には独特の薄気味悪さがありますよね。
スティーブン・キングっぽいというか、
どこかしらホラーのにおいがあった。
当時、そういうものってやっぱりなかったと思うんですよ。

音楽も印象的でしたねえ。
あの、ファミコンの限られた音のなかでつくってたから、
より印象的なのかもしれないけど、CD買いましたもんね。
ま、鈴木慶一さんだったっていうのも大きいんだろうけど。
ゲーム音楽としては、ほんとうにハイレベルだと思いますね。

ああいう世界をつくるのは、
そうとう難しい作業だったと思いますよ。
ひとくちに現実が舞台といっても、
いま自分が過ごす世界に近ければ近いほど、
つくるのが難しいと思うんです。

だから、糸井さんだからこそできたのかもしれないですよね。
たとえばアメリカっぽい風景にしても、
音楽とか、映画とか、自分がいままで蓄積したものが、
すごく分厚い情報としてあって、そこから、
独特のアメリカっぽさが生まれてるんですよね、たぶん。
なんというか、ビートルズ世代っぽいアメリカ。
そういう不思議な空間になってると思う。

だから、いろんな意味で、
唯一無二っていう印象がありますよ、『MOTHER』には。
ほぼ日に掲載されたメールを読んでも感じるんですけど、
みんなあの世界に戻りたいんじゃないのかなあ。
やっぱりあの世界が好きなんですよ。

『MOTHER2』は『1』にくらべると、
意外と印象が強くないんですよね。
なんか、断片的に覚えてる。
バルーンモンキーがよかったなあとか。
ムーンサイドがすごくイヤだったなあとか。
恐竜の背中に乗っていくのが楽しかったなあとか……。
あと、どせいさんかな。
どせいさんのとこには絶対また行きたいな。
あの変なフォントを読みたい。

そういえば、当時、『MOTHER2』制作真っ最中の
糸井さんに会って話したことがあるんです。
そのとき、すっごくうれしそうに、
「ナイショなんだけど、
 ダンジョン男っていうの、考えてるんだよ」
って言ってたのをちょっと覚えてます(笑)。
なんかね、「いいこと思いついたんだよ」って感じで、
にやにやしてましたねえ(笑)。

『MOTHER』が14年前で、
『MOTHER2』が9年前ですか。
そうですねえ、変な話、当時わからなかった心境に
なれるかもしれないなという期待がありますね。

当時の糸井さんがおいくつなのかは
詳しくわからないけども、
いまぼくはまさに
それくらいの年齢に近づいているわけじゃないですか。
インタビューで、
娘さんに向けての気持ちとかも読んだけど、
ああいうことがわかるかもしれないですよね。
だから、主人公の親側に立って、
あの世界を楽しめるかもしれない。

だから……昔は泣かなかったのに、
泣いちゃったりとかあるかもしんないですね(笑)。
当時は、泣くまではいかなかったけど。
好きだったけど、泣きはしなかった。
どちらかというと、「愛しくなった」という感じですね。
「この4人組がすごく好きだ!」みたいな(笑)。
そういう気分にまた戻れるのか、
いろんな意味で楽しみですね。


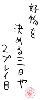
特別寄稿 MOTHERエハイク!

【評】
入力した好物を最後まで後悔し続けた1回目。
2回目の好物は「本当に好きな物」にするぞと
意気込んで三日三晩悩んだ25歳の春。

2003-05-23-FRI

HOME
戻る